낮은 자기장에서의 magnetoresistance (feat. Drude model)
낮은 자기장에서의 전도성 측정은 주로 hall measurement에서 일어난다.
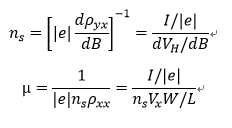
낮은 자기장에서의 전도성 측정으로 전자 밀도 (carrier density) ns 와 mobility μ를 알아낼 수 있다. Steady-state에서 전자가 외부 전자기장에 의하여 얻는 momentum비율은 scattering에 의하여 잃는 momentum의 비율과 같다. 따라서 다음과 같이 쓸 수 있다.

따라서, (τm=momentum relaxation time)

vx와 vy는 각각 x와 y방향의 drift velocity이며 Ex와 Ey는 각각 x와 y방향의 전기장이다.
여기서 전류밀도 J=evdns를 넣어주면

σ≡ensμ & μ≡eτm/m 이므로

저항의 tensor는 아래와 같이 정의 되므로

아래와 같이 정의 할 수 있다.


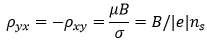
Drude 모델로 자기장의 변화에 따라 홀 저항(xy or yx방향)은 일정하게 변하지만 xx 방향의 저항은 일정하다는 것을 알수있다.
실험으로 확인하는 drude 모델

실험에서 저항 tensor는 사각형으로 만든 샘플에서 측정할 수 있다.
위의 그림1과 같이 준비된 샘플에서 x방향으로 일정한 전류 I를 흘려 보낼 때 x방향의 전압강하를 Vx (= V1 - V2), y방향의 전압강하(홀저항)을 VH(= V2 – V3)라고 하자.
y방향의 전류는 없으므로 Jy = 0이다.
따라서 아래와 같이 쓸 수 있다.

여기서

이다.
또한 ρxx, ρyx 는 x방향과 y방향의 전압과 관련이 있으므로

으로 계산할수있다.
실제 실험에서의 결과

M. E. Cage, R. F. Dziuba and B. F. Field, "A Test of the Quantum Hall Effect as a Resistance Standard," in IEEE Transactions on Instrumentation and Measurement, vol. IM-34, no. 2, pp. 301-303, June 1985, doi: 10.1109/TIM.1985.4315329.
위 논문에서 네모난 hall bridge의 면적은 W=0.38 mm, L=1 mm이며 전류는 I=25.5 μA이다.
그림에서 보이듯 낮은 자기장에서 Vx는 거의 일정하며 VH는 일정하게 증가하는 모습을 보인다.
이렇게 실험을 통해 구한 VH를 이용해서 전자밀도 (carrier density)와 mobility를 구할 수 있다. 구하는 식은 아래와 같다.
